Art 36754
Adattabile a
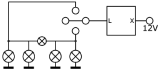
Intermittenza universale per macchine operatrici e rimorchi
Contatti
2
Tensione
12 V
intermittenza a 2 contatti
Disponibile nelle categorie : INTERMITTENZA

